程序设计 树基础

程序设计 树基础
小嗷犬引入
图论中的树和现实生活中的树长得一样,只不过我们习惯于处理问题的时候把树根放到上方来考虑。
这种数据结构看起来像是一个倒挂的树,因此得名。
定义
一个没有固定根结点的树称为 无根树(unrooted tree)。无根树有几种等价的形式化定义:
- 有 个结点, 条边的连通无向图
- 无向无环的连通图
- 任意两个结点之间有且仅有一条简单路径的无向图
- 任何边均为桥的连通图
- 没有圈,且在任意不同两点间添加一条边之后所得图含唯一的一个圈的图
在无根树的基础上,指定一个结点称为 根,则形成一棵 有根树(rooted tree)。有根树在很多时候仍以无向图表示,只是规定了结点之间的上下级关系,详见下文。
有关树的定义
适用于无根树和有根树
- 森林(forest):每个连通分量(连通块)都是树的图。按照定义,一棵树也是森林。
- 生成树(spanning tree):一个连通无向图的生成子图,同时要求是树。也即在图的边集中选择 条,将所有顶点连通。
- 无根树的叶结点(leaf node):度数不超过 的结点。
- 有根树的叶结点(leaf node):没有子结点的结点。
只适用于有根树
父亲(parent node):对于除根以外的每个结点,定义为从该结点到根路径上的第二个结点。 根结点没有父结点。
祖先(ancestor):一个结点到根结点的路径上,除了它本身外的结点。 根结点的祖先集合为空。
子结点(child node):如果 是 的父亲,那么 是 的子结点。
子结点的顺序一般不加以区分,二叉树是一个例外。结点的深度(depth):到根结点的路径上的边数。
树的高度(height):所有结点的深度的最大值。
兄弟(sibling):同一个父亲的多个子结点互为兄弟。
特殊的树
链(chain/path graph):满足与任一结点相连的边不超过 条的树称为链。
菊花/星星(star):满足存在 使得所有除 以外结点均与 相连的树称为菊花。
有根二叉树(rooted binary tree):每个结点最多只有两个儿子(子结点)的有根树称为二叉树。常常对两个子结点的顺序加以区分,分别称之为左子结点和右子结点。
大多数情况下,二叉树 一词均指有根二叉树。完整二叉树(full/proper binary tree):每个结点的子结点数量均为 或者 的二叉树。换言之,每个结点或者是树叶,或者左右子树均非空。

完全二叉树(complete binary tree):只有最下面两层结点的度数可以小于,且最下面一层的结点都集中在该层最左边的连续位置上。

Proper binary tree 的汉译名称不固定,且完全二叉树和满二叉树的定义在不同教材中定义不同,遇到的时候需根据上下文加以判断。
ACMer 所说的「满二叉树」多指完美二叉树。
存储
只记录父结点
用一个数组 parent[N] 记录每个结点的父亲结点。
这种方式可以获得的信息较少,不便于进行自顶向下的遍历。常用于自底向上的递推问题中。
邻接表
对于无根树:为每个结点开辟一个线性列表,记录所有与之相连的结点。
cpp1
std::vector<int> adj[N];对于有根树:
方法一:若给定的是无向图,则仍可以上述形式存储。下文将介绍如何区分结点的上下关系。
方法二:若输入数据能够确保结点的上下关系,则可以利用这个信息。为每个结点开辟一个线性列表,记录其所有子结点;若有需要,还可在另一个数组中记录其父结点。
cpp1
2std::vector<int> children[N];
int parent[N];当然也可以用其他方式(如链表)替代
std::vector。
左孩子右兄弟表示法
过程
对于有根树,存在一种简单的表示方法。
首先,给每个结点的所有子结点任意确定一个顺序。
此后为每个结点记录两个值:其 第一个子结点 child[u] 和其 下一个兄弟结点 sib[u]。若没有子结点,则 child[u] 为空;若该结点是其父结点的最后一个子结点,则 sib[u] 为空。
实现
遍历一个结点的所有子结点可由如下方式实现。
1 | |
也可简写为以下形式。
1 | |
二叉树
需要记录每个结点的左右子结点。
1 | |
树的遍历
树上 DFS
在树上 DFS 是这样的一个过程:先访问根节点,然后分别访问根节点每个儿子的子树。
可以用来求出每个节点的深度、父亲等信息。
二叉树上 DFS
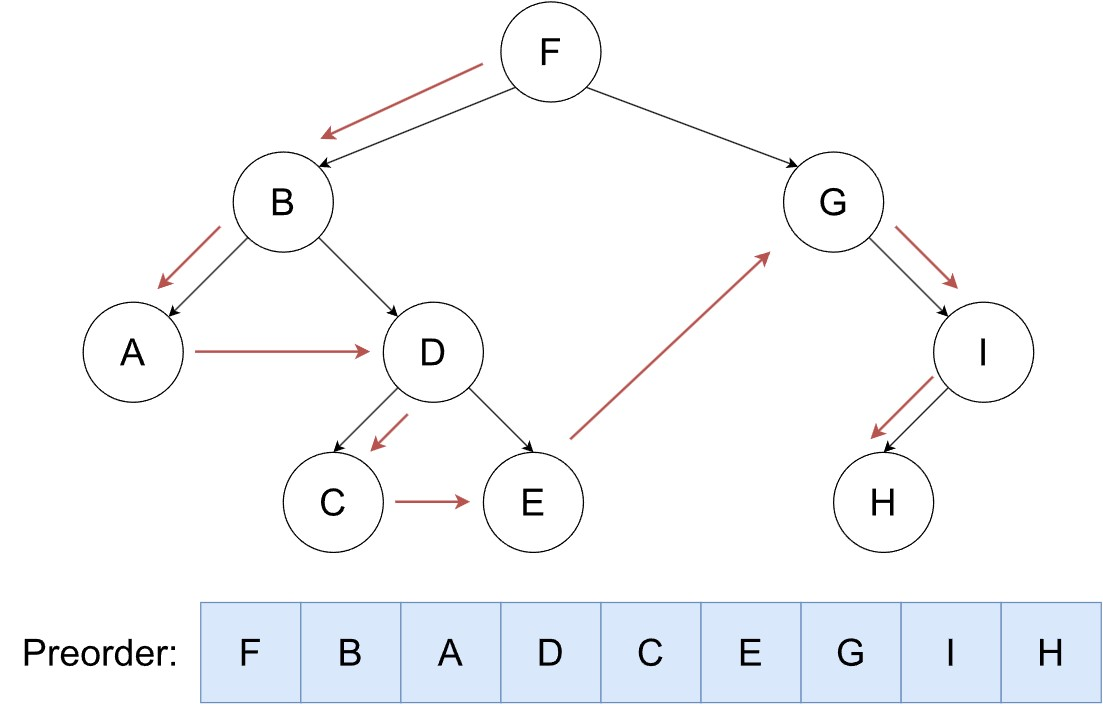
前序遍历
按照 根,左,右 的顺序遍历二叉树。
1 | |
中序遍历
按照 左,根,右 的顺序遍历二叉树。
1 | |
后序遍历
按照 左,右,根 的顺序遍历二叉树。
1 | |
反推
已知中序遍历序列和另外一个序列可以求第三个序列。
- 前序的第一个是 root,后序的最后一个是 root。
- 先确定根节点,然后根据中序遍历,在根左边的为左子树,根右边的为右子树。
- 对于每一个子树可以看成一个全新的树,仍然遵循上面的规律。
树上 BFS
从树根开始,严格按照层次来访问节点。
BFS 过程中也可以顺便求出各个节点的深度和父亲节点。
无根树
过程
树的遍历一般为深度优先遍历,这个过程中最需要注意的是避免重复访问结点。
由于树是无环图,因此只需记录当前结点是由哪个结点访问而来,此后进入除该结点外的所有相邻结点,即可避免重复访问。
实现
1 | |
有根树
对于有根树,需要区分结点的上下关系。
考察上面的遍历过程,若从根开始遍历,则访问到一个结点时 from 的值,就是其父结点的编号。
通过这个方式,可以对于无向的输入求出所有结点的父结点,以及子结点列表。




























